From Sound to Music: The Mechanics of Stringed Instruments
26 set 2025
This paper aims to contribute to the analysis of mechanics of instrument in relation to the broader themes of musical sound. The areas under discussion are broad and complex, encompassing all musical instruments. Here, we will focus specifically on stringed instruments, a category to which stringed instruments belong. However, the considerations presented have general validity and are relevant both to instruments specific to Western musical culture and to other cultures around the world, to which different instruments and musical and performance techniques are linked.
The multidisciplinary nature of mechanics of instrument is evident in its many affinities with different disciplines, both theoretical and experimental, while maintaining a distinctive character of particular interest for musical instrument makers.
Introduction
To define and characterize the mechanics of a musical instrument, it is appropriate to begin with the general references of sound and music, the extremely broad fields that inspire the journal in which this contribution is published. These fields have been addressed and explored by numerous scholars throughout history, from scientific, musicological, philosophical, and aesthetic perspectives.
From a physical point of view and in general terms it can be considered that the main difference between music and sound lies in the order and intention with which sounds are organized. Sound can be defined as any vibration that propagates through the air (or another medium) and is perceived by the human ear. Sound can be natural or accidental, like the rumble of a car, the wind, or the banging of a door. It is a sensory perception that does not necessarily have a meaning or artistic intention.
In contrast, music is an art form that uses sound organized into a harmonic and rhythmic structure with the intent of expressing emotions, ideas, or stories. Music is a form of sound, but it is intentionally structured, with elements such as melody, harmony, rhythm, and timbre, which combine to create an emotional and cultural experience.
Therefore, while the sound It is something that exists naturally and can correspond to any auditory vibration, music is an art form that exploits sound in a structured and intentional way.
According to a typical physics approach, sound is therefore entirely comparable to a form, even a complex one, of vibration that propagates through a medium such as air, water, or a solid and is perceived by the human ear as a variation in air pressure. The vibration produces sound waves that travel through the medium, and the human ear detects their temporal variations.
As a physical phenomenon, sound can be identified through measurable variables which are essentially
- frequency (measured in Hertz, Hz), meaning the speed at which the particles in the medium oscillate. Higher frequencies correspond to high-pitched tones, lower frequencies to low-pitched tones;
- amplitude (measured in decibels, dB), that is, the intensity of the sound, which determines how loud or soft it is perceived;
- timbre, which defines the quality of the sound and allows us to distinguish different sound sources (for example, the difference between the sound of a piano and a guitar, even if they play the same note);
- duration, understood as the temporal length of the sound, which can be short (like a shot) or prolonged (like the sound of a drum roll).
As already observed, sound can be caused by natural phenomena such as thunder, wind, the beating of a heart or artificial ones such as the noise produced by a car or industrial machinery or by the clapping of hands.
When we talk about music, we must refer not only to a physical dimension but also to an artistic and cultural sphere. In fact, music is an intentional construction of sounds that follows aesthetic, cultural, and formal principles. It is a sonic language that communicates emotions, ideas, and stories. Music is not simply identifiable as a sequence of sounds, but an ordered combination of them, interpreted according to harmonic and rhythmic rules.
According to this vision, music is characterized by peculiar aspects such as:
- the melody, understood as a sequence of sounds organized in a recognizable pattern, which can be simple, as in a pop song, or complex, as in a classical theme;
- the harmony, which can be interpreted as the use of sounds combining simultaneously to create chords. Harmony often defines the mood of a piece of music;
- the rhythm, which represents the temporal arrangement of sounds, capable of creating a regular or irregular structure. A rhythm can be regular, as in a dance, or irregular, as in some forms of contemporary music;
- the form, understood as the organization of musical material into a structure, such as sonata form or the song cycle of an album. Form helps give coherence and meaning to the piece;
- the dynamics and the timbre, related to the variation in volume, from the loudest to the most delicate music, and to the timbral characteristics that depend on the musical instrument used to perform the music itself.
Starting from these considerations the substantial differences between sound and music emerge:
- intent and context. Sound can be accidental, natural, or produced without a specific artistic purpose. Music, on the other hand, is always created with an aesthetic and intentional purpose. An isolated sound, like a gong strike, can become part of a musical work, but by itself it is not music, because it lacks structure or expressive context;
- structure and order. Music implies a structure in which sounds are arranged in a certain order, rhythmic, melodic, or harmonic, while sound is simply an auditory phenomenon, without any necessary organization or foresight;
- evolution. Throughout history, civilizations have placed great importance on music as a cultural expression, often associating it with religious rites, ceremonies, or entertainment. Music has taken shape within specific styles and genres that give it meaning (e.g. classical music, rock, electronic, etc.), while sound remains fundamentally a sensory perception.
Differences between sound and music also emerge from the point of view of the study approach.
Sound finds its core discipline in acoustics, the branch of physics that studies pressure waves, their causes, propagation, and reception. In a more general sense, acoustics also includes the study of infrasound and ultrasound, which are inaudible to humans but behave, physically, in the same way. From an applied perspective, acoustics encompasses specific fields such as architectural acoustics, environmental acoustics, underwater acoustics, and even psychoacoustics and audiometry.
Music, as a cultural asset, has musicology as its reference discipline, with specific fields oriented, on the one hand, towards music theory, which analyses the foundations of music and provides a system for articulating and using these elements in compositional language and on the other towards musical education which, instead, deals with the teaching and learning of music, aiming at the development of individuals' musical and cognitive skills.
With these premises it is possible to correctly place the mechanics of the musical instrument also in relation to acoustic physics.
Acoustic physics and Mechanics of the instrument
The disciplines of acoustic physics and mechanics of musical instrument are often, but mistakenly, considered synonymous. While correlations and synergies certainly exist, it's worth highlighting some distinguishing features.
Acoustic physics is a branch of physics that studies the nature of sound, its behaviour, its propagation and the corresponding perception. In practice, it deals with how vibrations are generated, how they travel through various media, and how they are interpreted by the human senses, particularly hearing. By its very nature, it is based on physical principles involving fluid mechanics, energy, and the interaction of sound waves with objects and environments.
The main elements of acoustic physics can be summarized in the following headings:
- sound waves, that is, oscillations that propagate in a medium (such as air, water, or solids). They can generally be longitudinal, with particles of the medium moving along the direction of propagation of the wave, or transverse, where the particles move perpendicular to the direction of propagation of the wave;
- frequency and pitch of the sound. The frequency represents the number of oscillations (vibrations) per second that occur in a sound wave. Frequency determines the pitch or tone of the sound: high frequencies characterize high-pitched sounds, while low frequencies are typical of low-pitched sounds.
- amplitude. It is a parameter of the sound wave related to the intensity of the sound, which corresponds to the perception of volume. Greater is the amplitude, louder will be the sound;
- speed of sound, understood as the speed at which the sound wave propagates in the medium. It depends on the density of the medium: in a denser medium, sound propagates faster than in a medium of lower density;
- temperature. The speed of sound increases with increasing temperature. For example, at a temperature of 20°C, the speed of sound in air is approximately 343 m/s;
- reflection, refraction and diffusion. These phenomena manifest themselves when sound waves encounter an obstacle. They can reflect, bouncing off hard surfaces (such as walls), creating echo effects. Or they can refract, changing direction when passing from one medium to another. Finally, they can diffuse, spreading out in different directions, influencing how the sound propagates in the environment;
- interference and diffraction. Sound waves, like all waves, can interfere with each other. Constructive interference occurs when, for example, two waves combine to reinforce each other, creating a louder sound. Resonant interference occurs when the waves overlap so that they partially cancel each other out, reducing the intensity of the sound. Diffraction refers to the ability of sound waves to bend around obstacles and propagate behind them, a phenomenon that is important in the design of concert halls or sound systems.
- sound perception. Acoustic physics also deals with the perception of sound, which involves phenomena such as timbre, the quality of sound that allows us to distinguish one sound from another. Another phenomenon is that of position and localization: the human brain is able to locate the direction from which a sound comes thanks to the differences in time and intensity with which the sound wave reaches the ear. Another phenomenon is the Doppler effect, characterized by the change in frequency or wavelength of a perceived sound when the sound source and the observer move relative to each other.
In short, it can be said that acoustic physics is a field of study that analyses the theoretical aspects of sound and the propagation of sound waves.
These notes on acoustic physics highlight the specifics of the mechanics of musical instruments. This scientific field focuses on the physical behaviour of musical instruments in producing sound. Specifically, it deals with the mechanical forces, structural behaviour, and movements that occur within the instrument during sound production. The main aspects of the mechanics of instrument are:
- vibration of parts: for example, how a vibrating string (string instrument), a membrane (percussion instrument), or a column of air (wind instrument) creates sound;
- resonance. Each instrument has a structure that resonates at certain frequencies according to complex phenomena, amplifying the sound produced.
- excitation forces, related to how the musician interacts with the instrument (playing a string, blowing into the duct of a wind instrument, hitting a membrane);
- sound control mechanisms, associated with different interactions such as the use of a bow on a violin or the air pressure in an organ.
Mechanics of instrument focuses on how internal and external physical forces (such as finger movements or breathing) influence vibrations and sound production. It is a fascinating field that studies how different musical instruments produce sounds and how these sounds propagate, change, and are perceived. Each type of musical instrument has its own specific acoustic structure, which depends on the way the sound is produced, the shape of the instrument, the material it is made of, and how sound waves are amplified and modulated.
With reference to chordophones, a family of instruments to which lutherie musical instruments belong, we can highlight the main phenomena and factors that allow sound to be generated from vibration.
String instruments produce sound through the vibration of one or more strings. When a string is plucked (as in the case of a guitar), bowed (as in the case of a violin bow), or percussed (as in the case of a piano), the vibrations are transmitted through the body of the instrument, which amplifies the sound in extremely different ways depending on the geometry and structural characteristics of the instrument itself. The main acoustic factors include:
- vibration frequency: The frequency of the string's vibration determines the pitch of the sound. A longer, thinner string tends to produce low frequencies (low-pitched sounds), while a shorter, tighter string produces high frequencies (high-pitched sounds);
- resonance. The body of the instrument (for example, the soundboard of a guitar or violin) amplifies the sound generated by the string, similar to a natural acoustic amplifier. The body amplifies some frequencies and dampens others, contributing to the instrument's characteristic timbre;
- materials. The materials from which the instrument is constructed (wood, metal, plastic, etc.) influence the sound quality. Wood, for example, contributes to good resonance, while metals like steel in the strings can produce brighter tones.
The mechanics of chordophones specifically concerns the functioning of stringed musical instruments, that is, those instruments that produce sound through the vibration of one or more stretched strings. Stringed instruments are divided into various types, such as bowed, percussed, and plucked, but they all rely on some common physical principles.
The main mechanical issues that govern the functioning of chordophones concern the strings, their vibration, the sound box, the mechanisms for controlling the vibration, the law of string vibration, acoustic effects and tuning.
Strings are fundamental elements in chordophones. Their vibration is the source of sound. Strings can be made of different materials (steel, nylon, gut, etc.), each with different sound characteristics. In general, the following should be considered:
- string length. Longer is the string, deeper is the sound. In instruments like the guitar or violin, the length of the string is adjusted using the frets (on the guitar) or the fingers (on the violin) to produce different notes;
- string tension. Tighter the string, higher will be its vibration frequency, and therefore the higher-pitched sound will be. This is the principle on which tuning mechanisms are based: by turning the tuning keys, you tighten the string to raise its frequency, or loosen it to lower it;
- string mass. Thicker (heavier) strings vibrate at lower frequencies, producing lower-pitched sounds.
The vibration of strings results from their excitation. This vibration is the key to producing sound. Vibration can be produced in various ways:
- plucked (as in guitar or harp): the strings are plucked with the fingers or a plectrum;
- with a bow (as in the violin or cello). The bow, made of a bundle of taut horsehair, rubs the string causing it to vibrate;
- with percussion (as in lutes): The strings are percussed with the fingers or with a plectrum.
The sound body (or resonator) is essential for amplifying the sound produced by the vibration of the strings. The body collects the vibrational energy of the strings and transforms it into sound waves that can be heard by the human ear. It consists of a cavity that amplifies the sound produced by the vibration of the strings. The sound body's material (wood for violins and guitars, for example) affects the timbre and volume of the sound. The sound body resonates at specific frequencies and specifically amplifies those that are in tune with the vibrations of the strings. The shape and volume of the body are designed to optimize these resonances.
The vibration control mechanisms are crucial to the timbre of the instrument. There are several ways in which string vibration can be modified or controlled. In chordophones such as the guitar or violin, the frets or bridge are used to stop the string at a specific length, changing the frequency of vibration and therefore the note produced. On some instruments, mutes can be used to dampen the string vibration and make the sound softer or to achieve special effects.
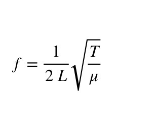
The law governing the vibration of strings can be expressed as follows:

where f is the frequency of the note, L is the length of the string, T is the tension of the string, and μ is the linear density of the string (the mass per unit length).
This formula shows how the frequency of vibration depends on the length of the string, the tension, and the mass of the string itself.
As regards the acoustic effects and the sonority of an instrument Each string instrument has unique characteristics that arise from the interaction between the string, the sound box, and the way it is played. Some aspects that influence sound quality include:
- the timbre, which depends on the combination of harmonic frequencies produced by the vibration of the string and the shape and material of the sound body;
- the sustain, which represents the duration of the sound after the string has been plucked, bowed, or percussed. Instruments like the acoustic guitar have a slowly fading sustain, while instruments like the violin, thanks to the continuous stress of the bow, can have a longer and more controlled sustain;
- the harmonic vibration. In addition to the fundamental frequency, the string also vibrates in harmonics, creating a series of higher frequencies that enrich the sound.
Finally, regarding tuning, the tension of the strings is regulated through the use of tuning machines (like the keys on a guitar or violin), which allow you to change the tension of the string, raising or lowering the pitch. Correct tension is essential for achieving the correct tuning and a pleasant sound.
In short, the mechanics of chordophones are based on a combination of tension, length, string mass, and body resonance, with the player's skill influencing the resulting sound. The science behind these instruments is particularly complex, as a small change in any one of these factors can significantly alter the timbre, frequency, and overall quality of the sound produced.
The issues affecting the mechanics of the instrument are numerous and extremely diverse. From a general perspective, without delving into specific aspects, we would like to highlight some distinctive features.
String vibration is the heart of a chordophone's sound. When plucked, strummed, or struck, the string begins to vibrate in a complex manner. The main parameters that influence this vibration are:
- the fundamental frequency, that is, the frequency at which the string vibrates in a simple way, that is, as a standing wave that forms between the two anchor points (usually the ends of the string);
- the higher harmonics. The string vibrates not only at its fundamental frequency, but also at multiples of it, which are called harmonics. These harmonics influence the timbre of the sound.
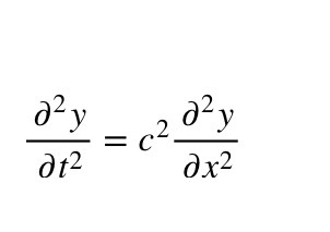
The vibration of the string can be modelled in a simple form with the equation of a longitudinal wave propagating along a stretched string:

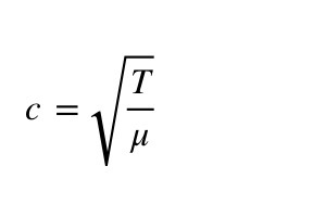
where y(x, t) represents the position of the string as a function of position x in a Cartesian frame x, y and time t, and c is the speed of propagation of the wave on the string, which depends on its tension T and the mass per unit length μ.
The speed of the wave on the string is given by:

When a string vibrates, it generates standing waves, that is waves that appear to remain stationary over time, with nodes (points of non-vibration) and antinodes (points of maximum vibration). The frequencies at which these standing waves form are determined by the length of the string and the tension.
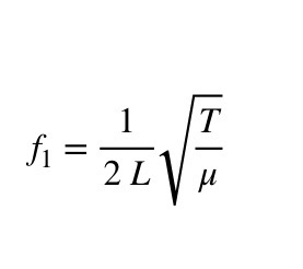
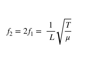
The fundamental frequency (first harmonic) corresponds to a vibration in which the string oscillates such that there is a node in the centre and an antinode at each end. The frequency f1 of the first harmonic is given by:

Higher harmonics (second, third, etc.) correspond to string vibrations with multiple nodes and antinodes along its length. For example, the second harmonic has two nodes and three antinodes, and its frequency f2 is double that of the first harmonic:

The third harmonic will have a frequency f3 =3 f1, and so on.
The bridge or saddle of an instrument (such as a guitar) is the point where the string transfers vibrational energy to the soundboard. The soundboard amplifies these vibrations and is crucial to producing audible sound. Soundboard resonance occurs when the string's vibration frequency matches or approaches the natural vibration frequencies of the soundboard itself.
The sound body acts as an acoustic amplifier: when a string vibrates, it creates air movement that is amplified by the cavity of the body. The sound box is designed to maximize the efficiency of this process.
Every soundboard has one or more natural resonant frequencies, depending on its size and shape. Resonance can amplify certain frequencies produced by the vibration of the string, improving volume and timbre.
The size of the box and the materials used significantly influence the final sound. A larger box tends to produce lower frequencies (lower sounds), while a smaller body favours higher frequencies (higher sounds). The material (wood, plastic, metal) of the body affects the timbre and sustainability of the sound.
The effects of the tension T, the length L, and the mass per unit length μ of the string are crucial in determining the frequency of vibration. In a chordophone such as the guitar, these variables are adjusted to obtain the desired notes:
- the tension of the string is adjusted via the tuning mechanisms;
- the length of the string varies depending on where it is stopped (for example, with the fingers on the guitar or violin);
- the mass of the string affects its ability to produce low or high notes. Thicker, heavier strings tend to produce lower sounds.
The relationship between voltage, length and mass means that to increase the frequency (higher-pitched sound) you need to increase the tension T, reduce the length L or reduce the mass per unit length μ.
The sustainability of sound in a chordophone is influenced by the internal resistance of the string, the damping capacity of the sound body, and the efficiency of energy transfer from the string to the sound body. The ability of a sound to "sustain" over time depends on how the sound body amplifies the sound and how the vibrational energy is transferred to the air.
All these considerations, even if expressed in a very general form and without going into the merits of the methods and procedures for determining the optimised parameters, highlight the substantial differences between the mechanics of the instrument and acoustic physics.
The interaction between strings and the soundboard is extremely complex but represents one of the essential aspects of the instrument's mechanics. Other key interactions include those between string and bridge, between string and bow (for bowed instruments), between string and surrounding environment (air), between instrument and player, between string and string, and between string and bridge. Future papers will explore specific topics.
The mechanics of the instrument: a systematic approach
The approach that guides the mechanics of the musical instrument therefore develops starting from the mechanical resistance of the instrumental parts to the action of external stresses of various kinds, then moving on to the dynamic structural behaviour, with particular reference to the flexural and torsional vibrational phenomena induced on the instrument by its use, and concluding with the acoustic behaviour, in terms of the characteristics of the sound generated.
The application of this knowledge extends throughout the instrument's entire manufacturing process: from the earliest stages of construction to its completion, maintenance, and conservation. Mechanical information on finished instruments is generally very scarce or non-existent. It is noted that even today, the classification and cataloguing of musical instruments is often limited to geometric, dimensional, and aesthetic observations, with possible extensions to essential chemical and physical characteristics. This is certainly necessary, but it does not convey any knowledge regarding the instrument's unique characteristics, which continue to be linked to the correlation between dynamic behaviour and the sound generated.
This is even more true in terms of temporal monitoring of the instrument: consider the amount of information lost on valuable instruments from the time they were catalogued to today due to the failure to systematically investigate their mechanical response in general and their vibratory and acoustic response in particular, and their relative changes over time.
The mechanics of the instrument have close and essential interactions with many other disciplines, not only scientific ones. These interactions are so extensive and diverse that they defy a synthetic classification.
Mechanical characterization is essential for highlighting critical issues and, above all, the instrument's unique characteristics. Experimental procedures are invaluable for supporting the construction process of artefacts and for understanding how the instrument's characteristics change over time. For valuable and antique instruments, this is an important element for undertaking scientifically sound attempts to create faithful replicas of the instrument of interest.
Today, it is possible to develop specific, even unconventional, research methodologies and techniques to provide scientific and experimental support to artisanal instrument makers, through close collaboration. Vibro-acoustic monitoring allows for periodic updates of the instrument's musical profile, further highlighting its constructional originality and uniqueness in the case of highly artisanal products.
But even in the industrial instrument production sector, where the essential requirement for series production is homologation, the mechanical approach allows for the evaluation of product standardization.
The dynamic, vibrational, and acoustic behaviour of an instrument is very complex to analyse, and the reference mathematical models are often defined by equations or systems of equations that do not allow for an explicit solution. This justifies, on the one hand, the use of numerical solution methods and, on the other, experimental investigation methods, where sensors and portable instrumentation play a significant role, especially in supporting artisanal practices or for surveys of valuable instruments preserved in museums.
In conclusion, we want to emphasize that the sound produced by a musical instrument represents only the final stage of a complex process that begins with the initial construction phases of material selection and continues through the entire manufacturing process. A discipline capable of scientifically supporting this process therefore appears essential, regardless of the type of construction employed, whether artisanal or mechanized.
Bibliographic references
E. Ravina, A.L. Maramotti Politi, “The musical string”, (2024), Lipizer, Gorizia, Ed. La Laguna.
E. Ravina, “On the mechanics of the musical instrument”, (2023), Liuteria Musica Cultura n. 2, pp. 9-19.
E. Ravina, “The musical string and the mechanics of the instrument”, (2023), in Proceedings of the Conference “Luthiery, Music, Research: a necessary dialogue”, Cremona State Library, Cremona, Italy, 22 September 2023.
E. Ravina, “Elements of Mechanics of Musical Instruments” (2019), Ed. Genova University Press.
E. Ravina “The role of instrument mechanics in the preservation and restoration of violin-making heritage”, (2017), Liuteria Musica Cultura, n. 1, pp. 9-18.
Enrico Ravina
© Riproduzione riservata
21/05/2026